基本情報技術者 平成18年度秋期午前問11

午前問11

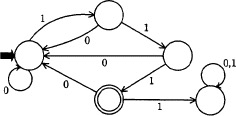
図で表される有限オートマトンで受理される文字列はどれか。ここで、は初期状態を、は受理状態を表す。
01011
01111
10111
11110
『情報処理過去問.com』からiPhoneアプリがリリースされました!!

正解

スポンサーリンク







シェアする

  • このエントリーをはてなブックマークに追加

フォローする