応用情報技術者 平成24年度春期午前問51

午前問51

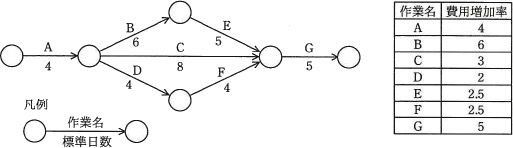
図に示すとおりに作業を実施する予定であったが、作業Aで1日遅れが生じた。各作業の費用増加率を表の値とするとき、当初の予定日数で終了するために発生する追加費用を最も少なくするには、どの作業を短縮すべきか。ここで、費用増加率とは作業を1日短縮するのに要する費用のことである。
B
C
D
E
『情報処理過去問.com』からiPhoneアプリがリリースされました!!

正解

スポンサーリンク







シェアする

  • このエントリーをはてなブックマークに追加

フォローする