午前問77
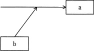
図は特性要因図の一部を表したものである。a、bの関係はどれか。

| bはaの原因である。 | |
| bはaの手段である。 | |
| bはaの属性である。 | |
| bはaの目的である。 |
『情報処理過去問.com』からiPhoneアプリがリリースされました!!
正解
- ア
解説
特性要因図とは、特性(結果)と要因(原因)がどう関係しているのかを表した図です。
特性要因図は、矢印の一番先に、特性(結果)を配置し、特性(結果)に対する要因(原因)を階層的に配置していきます。
魚の骨のように見えることからフィッシュボーンダイアグラムと呼ばれることもあります。
特性要因図は、矢印の一番先に、特性(結果)を配置し、特性(結果)に対する要因(原因)を階層的に配置していきます。
魚の骨のように見えることからフィッシュボーンダイアグラムと呼ばれることもあります。